适老版
无障碍
网站支持IPv6
首 页
市情
政府信息公开
政务服务
专题
互动回应
当前位置:
首页
>
专题
>
财政扶贫公开专栏
>
资金安排情况
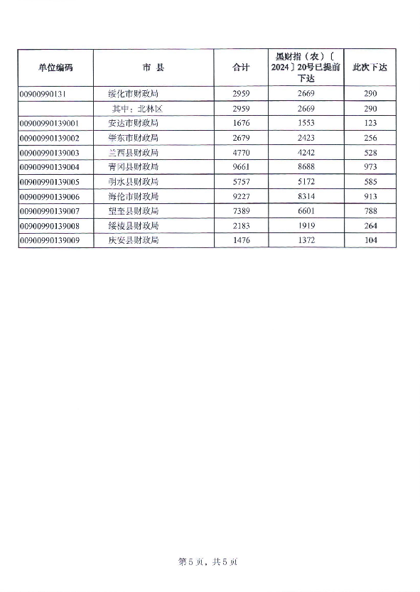
黑龙江省财政厅关于下达2024年省级财政衔接推进乡村振兴补助资金(巩固拓展脱贫攻坚成果和乡村振兴任务)预算的通知(黑财指(农)〔2024〕167号)
日期:
2024-11-29 14:18
来源:
市财政局
【字体:
大
中
小
】
分享到:
Hi!我是智能问答机器人小伊,
很高兴为您服务~